Trong chuyên mục Giải toán lớp 8 trang 94, 95, 96, 97 sách Cánh Diều tập 1 – Bài 1: Định lí Pythagore, Trường Hải Tiến Giang sẽ hướng dẫn các em cách tính và so sánh diện tích của hình vuông dựa theo định lí Pythagore, mời các em cùng tham khảo.
Giải Toán lớp 8 Cánh Diều tập 1 trang 94, 95, 96, 97
Bài 1: Định lí Pythagore
Giải Toán lớp 8 Cánh Diều tập 1 trang 96
1. Giải bài 1 – Cánh Diều lớp 8 tập 1 trang 96
Đề bài:Cho tam giác ABC vuông tại A. Tìm độ dài cạnh còn lại trong mỗi trường hợp sau:a) AB =8 cm, BC = 17 cmb) AB = 20 cm, AC = 21 cmc) AB=AC = 6cm.Phương pháp giải:Áp dụng định lí PythagoreĐáp án:
2. Giải bài 2 – Cánh Diều lớp 8 tập 1 trang 96
Đề bài:Tam giác có độ dài ba cạnh trong mỗi trường hợp sau có phái là tam giác vuông hay không?a) 12 cm, 35 cm, 37 cmb) 10 cm, 7 cm, 8 cmc) 11 cm, 6 cm, 7 cmPhương pháp giải:Áp dụng định lí Pythagore đảoĐáp án:
Giải Toán lớp 8 Cánh Diều tập 1 trang 97
3. Giải bài 3 – Cánh Diều lớp 8 tập 1 trang 97
Đề bài:Cho tam giác vuông cân có độ dài cạnh góc vuông bằng 1 dm. Tính độ dài cạnh huyền của tam giác đó.Phương pháp giải:Áp dụng định lí PythagoreĐáp án:Độ dài cạnh huyền của tam giác đó là:![]()
4. Giải bài 4 – Cánh Diều lớp 8 tập 1 trang 97
Đề bài:Cho một tam giác đều cạnh a.
a) Tính độ dài đường cao của tam giác đó theo a.b) Tính diện tích của tam giác đó theo a.Phương pháp giải:Áp dụng định lí PythagoreĐáp án:a) Tính độ dài đường cao của tam giác đó theo a là:
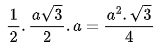
b) Tính diện tích của tam giác đó theo a là:
5. Giải bài 5 – Cánh Diều lớp 8 tập 1 trang 97
Đề bài:Hình 9 mô tả một thanh gỗ dài 3,5 m dựa vào một bức tường thẳng đứng. Chân thanh gỗ cách mép tường một khoảng là 2,1 m. Khoảng cách từ điểm thanh gỗ chạm vào tường đến mặt đất là bao nhiêu mét?
Phương pháp giải:Áp dụng định lí PythagoreĐáp án:Khoảng cách từ điểm thanh gỗ chạm vào tường đến mặt đất là:![]()
6. Giải bài 6 – Cánh Diều lớp 8 tập 1 trang 97
Đề bài:Hình 10 mô tả mặt cắt đứng của một sân khấu ngoài trời có mái che. Chiểu cao của khung phía trước khoảng 7 m, chiểu cao của khung phía sau là 6 m, hai khung cách nhau một khoảng là 5 m. Chiều dài của mái che sân khấu đó là bao nhiêu mét (làm tròn kết quả đến hàng phần trăm)?
Phương pháp giải:Áp dụng định lí PythagoreĐáp án:
Gọi BC là chiều dài mái che sân khấu.Khi đó, ta có:
Trên đây là hướng dẫn Giải toán lớp 8 trang 94, 95, 96, 97 Cánh Diều tập 1 Định lí Pythagore. Để chuẩn bị cho nội dung bài học tiếp theo, các em có thể xem trước phần hướng Giải toán lớp 8 trang 98, 99, 100 sách Cánh Diều tập 1 – Bài 2: Tứ giác. Ngoài ra, phần Giải toán lớp 8 trang 92, 93 sách Cánh Diều tập 1 – Hoạt động thực nghiệm và trải nghiệm chủ đề 2 sẽ giúp củng cố lại kiến thức đã học, các em có thể xem lại đáp án tại đây. Chúc các bạn học tốt môn toán.
Tham khảo thêm các tài liệu Giải Toán lớp 8 khác:
– Giải Toán lớp 8 sách Cánh Diều
– Giải toán lớp 8 trang 59, 60, 61, 62 sách CTST tập 1– Bài 1: Định lí Pythagore
Trên đây là hướng dẫn Giải toán lớp 8 trang 94, 95, 96, 97 Cánh Diều tập 1 Định lí Pythagore. Để chuẩn bị cho nội dung bài học tiếp theo, các em có thể xem trước phần hướng Giải toán lớp 8 trang 98, 99, 100 sách Cánh Diều tập 1 – Bài 2: Tứ giác. Ngoài ra, phần Giải toán lớp 8 trang 92, 93 sách Cánh Diều tập 1 – Hoạt động thực nghiệm và trải nghiệm chủ đề 2 sẽ giúp củng cố lại kiến thức đã học, các em có thể xem lại đáp án tại đây. Chúc các bạn học tốt môn toán.
