Các em có thể tham khảo tài liệu Giải toán lớp 8 trang 88, 89 sách CTST tập 1 – Bài tập cuối chương 3 để ôn lại cách làm các dạng toán quan trọng về Định lý Pythagore – Các loại tức giác thường gặp.
Giải toán lớp 8 trang 88, 89 sách Chân Trời Sáng Tạo tập 1
Bài tập cuối chương 3 trang 88, 89
Câu hỏi trắc nghiệm
Giải Bài tập 1 trang 88 trang 83 sgk Toán 8 sách Chân Trời Sáng Tạo tập 1
Lời giải:
Giải Bài tập 2 trang 88 sgk Toán 8 sách Chân Trời Sáng Tạo tập 1
Lời giải:
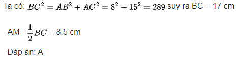
Giải Bài tập 3 trang 88 sgk Toán 8 sách Chân Trời Sáng Tạo tập 1
Lời giải:![]()
Giải Bài tập 4 trang 88 sgk Toán 8 sách Chân Trời Sáng Tạo tập 1
Lời giải:
Giải Bài tập 5 trang 88 sgk Toán 8 sách Chân Trời Sáng Tạo tập 1
Lời giải:
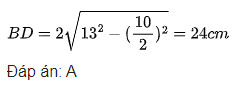
Giải Bài tập 6 trang 88 sgk Toán 8 sách Chân Trời Sáng Tạo tập 1
Lời giải:![]()
Giải Bài tập 7 trang 88 sgk Toán 8 sách Chân Trời Sáng Tạo tập 1
Lời giải:
Bài tập tự luận
Giải Bài tập 8 trang 89 sgk sgk Toán 8 sách Chân Trời Sáng Tạo tập 1
Lời giải:

Giải Bài tập 9 trang 89 sgk Toán 8 sách Chân Trời Sáng Tạo tập 1
Lời giải:

Giải Bài tập 10 trang 89 sgk Toán 8 sách Chân Trời Sáng Tạo tập 1
Lời giải:

Giải Bài tập 11 trang 89 sgk Toán 8 sách Chân Trời Sáng Tạo tập 1
Lời giải:

Giải Bài tập 12 trang 89 sgk Toán 8 sách Chân Trời Sáng Tạo tập 1
Lời giải:


Trên đây là hướng dẫn Giải Toán lớp 8 trang trang 88, 89 tập 1, các em học sinh tham khảo trước:
– Giải Toán lớp 8 tập 1 trang 83, 84, 85, 86, 87 sách Chân Trời Sáng Tạo – Bài 5: Hình chữ nhật – Hình vuông
– Giải Toán lớp 8 tập trang 92, 93, 94, 95, 96, 97 sách Chân Trời Sáng Tạo – Bài 1: Thu thập và phân loại dữ liệu để chắc kiến thức nhé.
Tham khảo nhiều tài liệu học tốt Toán 8
– Giải Toán lớp 8 Chân trời sáng tạo
– Giải toán lớp 8 trang 56 sách KNTT tập 1 – Luyện tập chung
– Giải toán lớp trang 88, 89 sách Cánh Diều tập 1 – Bài tập cuối chương IV
Trên đây là hướng dẫn Giải Toán lớp 8 trang trang 88, 89 tập 1, các em học sinh tham khảo trước:
– Giải Toán lớp 8 tập 1 trang 83, 84, 85, 86, 87 sách Chân Trời Sáng Tạo – Bài 5: Hình chữ nhật – Hình vuông
– Giải Toán lớp 8 tập trang 92, 93, 94, 95, 96, 97 sách Chân Trời Sáng Tạo – Bài 1: Thu thập và phân loại dữ liệu để chắc kiến thức nhé.
