Trong chuyên mục Giải toán lớp 8 trang 41 sách KNTT tập 1 – Luyện tập chung trang 40, Trường Hải Tiến Giang sẽ khái quát lại nội dung kiến thức 3 bài học đầu tiên của chương II, mời các em cùng tham khảo để nắm chắc phần kiến thức đã học.
Giải toán lớp 8 trang 41 sách KNTT tập 1
Luyện tập chung trang 40
Giải toán lớp 8 trang 41 sách KNTT tập 1: Luyện tập chung trang 40
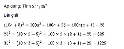
Bài tập 2.16 trang 41 sgk Toán 8 KNTT tập 1
Lời giải:
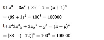
Bài tập 2.17 trang 41 sgk Toán 8 KNTT tập 1
Lời giải:
Bài tập 2.18 trang 41 sgk Toán 8 KNTT tập 1
Lời giải:
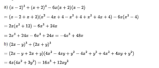
Bài tập 2.19 trang 41 sgk Toán 8 KNTT tập 1
Lời giải:
Bài tập 2.20 trang 41 sgk Toán 8 KNTT tập 1
Lời giải:
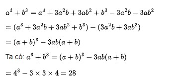
Bài tập 2.21 trang 41 sgk Toán 8 KNTT tập 1
Lời giải:
Trong nội dung Giải toán lớp 8 trang 41 sách KNTT tập 1, Luyện tập chung, học sinh sẽ được làm nhiều bài toán liên quan tới hằng đẳng thức số 4. Để thực hành tốt hơn, em hãy xem lại Giải toán lớp 8 trang 37, 38, 39 sách KNTT tập 1 – Bài 8: Tổng và hiệu của hai lập phương. Giải toán lớp 8 trang 42, 43, 44 sách KNTT tập 1 – Bài 9: Phân tích đa thức thành nhân tử cũng đã được Trường Hải Tiến Giang soạn trước, các em có thể bấm xem nhanh tại đây.
Tham khảo thêm các tài liệu Giải Toán lớp 8 khác:
– Giải Toán lớp 8 sách Kết nối tri thức
Trong nội dung Giải toán lớp 8 trang 41 sách KNTT tập 1, Luyện tập chung, học sinh sẽ được làm nhiều bài toán liên quan tới hằng đẳng thức số 4. Để thực hành tốt hơn, em hãy xem lại Giải toán lớp 8 trang 37, 38, 39 sách KNTT tập 1 – Bài 8: Tổng và hiệu của hai lập phương. Giải toán lớp 8 trang 42, 43, 44 sách KNTT tập 1 – Bài 9: Phân tích đa thức thành nhân tử cũng đã được Trường Hải Tiến Giang soạn trước, các em có thể bấm xem nhanh tại đây.
