Bài tập cuối chương I gồm hai phần trắc nghiệm và tự luận, các em có thể tham khảo Giải toán lớp 8 trang 40, 41 sách CTST tập 1 – Bài tập cuối chương 1 để chuẩn bị tốt cho bài kiểm tra miệng trên lớp.
Giải toán lớp 8 trang 40, 41 sách Chân Trời Sáng Tạo tập 1
Bài tập cuối chương 1 trang 40, 41
Câu hỏi trắc nghiệm
Giải Bài tập 1 trang 40 sgk Toán 8 sách Chân Trời Sáng Tạo tập 1
Lời giải:![]()
Giải Bài tập 2 trang 40 sgk Toán 8 sách Chân Trời Sáng Tạo tập 1
Lời giải:![]()
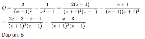
Giải Bài tập 3 trang 40 sgk Toán 8 sách Chân Trời Sáng Tạo tập 1
Lời giải:![]()
Bài tập
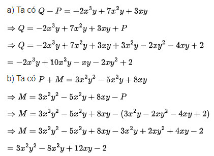
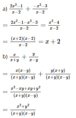
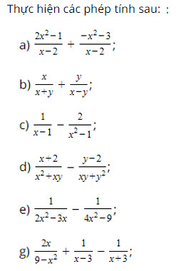
Giải Bài tập 4 trang 40 sgk Toán 8 sách Chân Trời Sáng Tạo tập 1
Lời giải:![]()
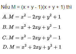
Giải Bài tập 5 trang 40 sgk Toán 8 sách Chân Trời Sáng Tạo tập 1
Lời giải:![]()
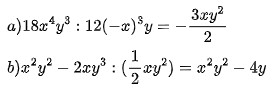
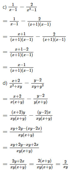
Giải Bài tập 6 trang 40 sgk Toán 8 sách Chân Trời Sáng Tạo tập 1
Lời giải:![]()
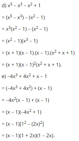
Giải Bài tập 7 trang 40 sgk Toán 8 sách Chân Trời Sáng Tạo tập 1
Lời giải:![]()
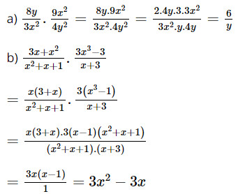
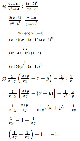
Giải Bài tập 8 trang 40 sgk Toán 8 sách Chân Trời Sáng Tạo tập 1
Lời giải:
Giải Bài tập 9 trang 40 sgk Toán 8 sách Chân Trời Sáng Tạo tập 1
Lời giải:![]()
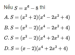
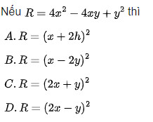
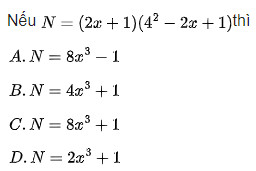
Giải Bài tập 10 trang 40 sgk Toán 8 sách Chân Trời Sáng Tạo tập 1
Lời giải:![]()
Bài tập tự luận
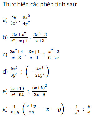
Giải Bài tập 11 trang 41 sgk Toán 8 sách Chân Trời Sáng Tạo tập 1
Lời giải:
Giải Bài tập 12 trang 41 sgk Toán 8 sách Chân Trời Sáng Tạo tập 1
Lời giải:
Giải Bài tập 13 trang 41 sgk Toán 8 sách Chân Trời Sáng Tạo tập 1
Lời giải:
Giải Bài tập 14 trang 41 sgk Toán 8 sách Chân Trời Sáng Tạo tập 1
Lời giải:
Giải Bài tập 15 trang 41 sgk Toán 8 sách Chân Trời Sáng Tạo tập 1
Lời giải:
Giải Bài tập 16 trang 41 sgk Toán 8 sách Chân Trời Sáng Tạo tập 1
Lời giải:


Giải Bài tập 17 trang 41 sgk Toán 8 sách Chân Trời Sáng Tạo tập 1
Lời giải:
Giải Bài tập 18 trang 41 sgk Toán 8 sách Chân Trời Sáng Tạo tập 1
Lời giải:



Giải Bài tập 19 trang 41 sgk Toán 8 sách Chân Trời Sáng Tạo tập 1
Lời giải:


Giải Bài tập 19 trang 41 sgk Toán 8 sách Chân Trời Sáng Tạo tập 1
Lời giải:
Giải Bài tập 19 trang 41 sgk Toán 8 sách Chân Trời Sáng Tạo tập 1
Lời giải:

Trên đây là hướng dẫn Giải Toán lớp 8 trang trang 40, 41 tập 1, các em học sinh tham khảo trước
– Giải Toán lớp 8 tập 1 trang 37, 38, 39 sách Chân Trời Sáng Tạo – Bài 6: Cộng, trừ phân thức
– Giải Toán lớp 8 tập 1 trang 43, 44, 45, 46, 47 sách Chân Trời Sáng Tạo – Bài 1: Hình chóp tam giác đều – Hình chóp tứ giác đều để chắc kiến thức nhé.
Tham khảo nhiều tài liệu học tốt Toán 8
– Giải Toán lớp 8 Chân trời sáng tạo
– Giải toán lớp 8 trang 27, 28 sách KNTT tập 1 – Bài tập cuối chương I
– Giải toán lớp 8 trang 44, 45, 46, 47, 48 sách Cánh Diều tập 1 – Bài 3: Phép nhân, phép chia phân thức đại số
Trên đây là hướng dẫn Giải Toán lớp 8 trang trang 40, 41 tập 1, các em học sinh tham khảo trước
– Giải Toán lớp 8 tập 1 trang 37, 38, 39 sách Chân Trời Sáng Tạo – Bài 6: Cộng, trừ phân thức
– Giải Toán lớp 8 tập 1 trang 43, 44, 45, 46, 47 sách Chân Trời Sáng Tạo – Bài 1: Hình chóp tam giác đều – Hình chóp tứ giác đều để chắc kiến thức nhé.
