Các em có thể soạn trước Bài 8: Tổng và hiệu của hai lập phương từ phần Giải toán lớp 8 trang 37, 38, 39 sách KNTT tập 1 – Bài 8: Tổng và hiệu của hai lập phương mà Trường Hải Tiến Giang đã biên soạn. Tất cả nội dung kiến thức trong SGK Kết nối tri thức đều đã được Trường Hải Tiến Giang tổng hợp kỹ lưỡng.
Giải toán lớp 8 trang 37, 38, 39 sách KNTT tập 1
Bài 8: Tổng và hiệu của hai lập phương
1. Giải toán lớp 8 trang 37, 38, 39 sách KNTT tập 1: Tổng hai lập phương
Hoạt động 1 trang 37 sgk Toán 8 KNTT tập 1
Lời giải:
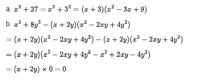
Luyện tập 1 trang 38 sgk Toán 8 KNTT tập 1
Lời giải:
2. Giải toán lớp 8 trang 37, 38, 39 sách KNTT tập 1: Hiệu hai lập phương
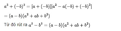
Hoạt động 2 trang 38 sgk Toán 8 KNTT tập 1
Lời giải:
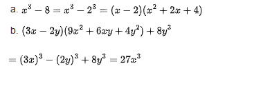
Luyện tập 2 trang 39 sgk Toán 8 KNTT tập 1
Lời giải:
3. Giải toán lớp 8 trang 37, 38, 39 sách KNTT tập 1: Bài tập
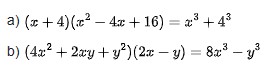
Bài tập 2.12 trang 39 sgk Toán 8 KNTT tập 1
Lời giải:
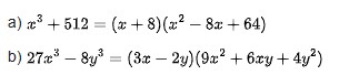
Bài tập 2.13 trang 39 sgk Toán 8 KNTT tập 1
Lời giải:
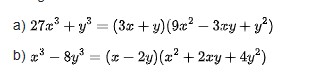
Bài tập 2.14 trang 39 sgk Toán 8 KNTT tập 1
Lời giải:
Bài tập 2.15 trang 39 sgk Toán 8 KNTT tập 1
Lời giải:
Trên đây là toàn bộ nội dung cho phần Giải toán lớp 8 trang 37, 38, 39 sách KNTT tập 1, Tổng và hiệu của hai lập phương. Các em có thể bấm xem lại bài học trước Giải toán lớp 8 trang 34, 35, 36 sách KNTT tập 1 – Bài 7: Lập phương của một tổng hay một hiệu và xem trước Giải toán lớp 8 trang 41 sách KNTT tập 1 – Luyện tập chung trang 40 trực tiếp tại đây.
Tham khảo thêm các tài liệu Giải Toán lớp 8 khác:
– Giải Toán lớp 8 sách Kết nối tri thức
– Giải toán lớp 8 trang 19, 20, 21, 22 sách CTST tập 1 – Bài 3: Hằng đẳng thức đáng nhớ
– Giải toán lớp 8 trang 24, 25, 26, 27 sách Cánh Diều tập 1 – Bài 4: Vận dụng hằng đẳng thức vào phân tích đa thức thành nhân tử
Trên đây là toàn bộ nội dung cho phần Giải toán lớp 8 trang 37, 38, 39 sách KNTT tập 1, Tổng và hiệu của hai lập phương. Các em có thể bấm xem lại bài học trước Giải toán lớp 8 trang 34, 35, 36 sách KNTT tập 1 – Bài 7: Lập phương của một tổng hay một hiệu và xem trước Giải toán lớp 8 trang 41 sách KNTT tập 1 – Luyện tập chung trang 40 trực tiếp tại đây.
