Trong bài viết, Trường Hải Tiến Giang sẽ hướng dẫn Giải toán lớp 11 trang 41, 42 sách Cánh Diều tập 1 – Bài tập cuối chương 1, giúp các em ôn lại các kiến thức quan trọng của chương học Hàm số lượng giác và phương trình lượng giác.
Giải toán lớp 11 trang 41, 42 sách Cánh Diều tập 1
Bài tập cuối chương 1
Giải toán lớp 11 trang 41, 42 sách Cánh Diều tập 1, Bài tập cuối chương 1
1. Giải bài tập 1 trang 41 sgk Toán 11 Cánh diều tập 1
2. Giải bài tập 2 trang 41 sgk Toán 11 Cánh diều tập 1

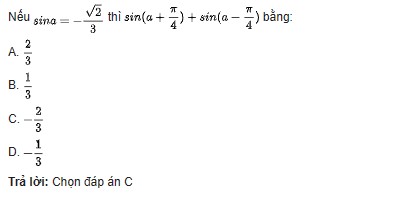
3. Giải bài tập 3 trang 41 sgk Toán 11 Cánh diều tập 1

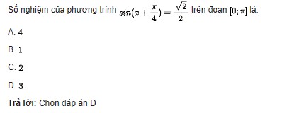
4. Giải bài tập 4 trang 41 sgk Toán 11 Cánh diều tập 1

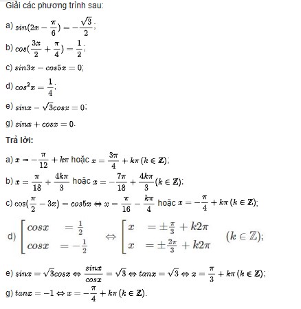
5. Giải bài tập 5 trang 41 sgk Toán 11 Cánh diều tập 1

6. Giải bài tập 6 trang 41 sgk Toán 11 Cánh diều tập 1

7. Giải bài tập 7 trang 41 sgk Toán 11 Cánh diều tập 1

8. Giải bài tập 8 trang 41 sgk Toán 11 Cánh diều tập 1

9. Giải bài tập 9 trang 41 sgk Toán 11 Cánh diều tập 1

10 Giải bài tập 10 trang 41 sgk Toán 11 Cánh diều tập 1

11. Giải bài tập 11 trang 42 sgk Toán 11 Cánh diều tập 1

12. Giải bài tập 12 trang 42 sgk Toán 11 Cánh diều tập 1

13. Giải bài tập 13 trang 42 sgk Toán 11 Cánh diều tập 1

14. Giải bài tập 14 trang 42 sgk Toán 11 Cánh diều tập 1


Phần Giải toán lớp 11 trang 41, 42 sách Cánh Diều tập 1, Bài tập cuối chương 1 cũng đã kết thúc chương học số I, các em có thể xem lại Giải toán lớp 11 trang 40 sách Cánh Diều tập 1 – Bài 4: Phương trình lượng giác cơ bản để nắm chắc cách làm dạng bài liên quan đến Phương trình lượng giác cơ bản.
Đừng quên xem trước Giải toán lớp 11 trang 47, 48 sách Cánh Diều tập 1 – Bài 1: Dãy số để chuẩn bị tốt hơn cho bài học tiếp theo các em nhé.
Tham khảo thêm các tài liệu Giải Toán lớp 11 khác:
– Giải Toán lớp 11 sách Cánh Diều
– Giải toán lớp 11 trang 42 sách CTST tập 1 – Bài tập cuối chương 1
– Giải toán lớp 11 trang 40, 41 sách KNTT tập 1 – Bài tập cuối chương 1
