Sau khi đã nắm đượ định nghĩa về Hàm số liên tục, các em sẽ dễ dàng vận dụng để Giải toán lớp 11 trang 122 sách KNTT tập 1 – Bài 17: Hàm số liên tục. Đáp án của bài học đã được Trường Hải Tiến Giang biên soạn cụ thể trong bài viết, rất thuận tiện để các em so sánh, đối chiếu.
Giải toán lớp 11 trang 122 sách KNTT tập 1
Bài 17: Hàm số liên tục
Giải toán lớp 11 trang 122 sách KNTT tập 1: Hàm số liên tục
Giải bài tập 5.14 trang 122 SGK Toán 11 Kết nối tri thức tập 1
Giải bài tập 5.15 trang 122 SGK Toán 11 Kết nối tri thức tập 1

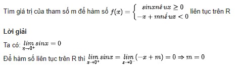
Giải bài tập 5.16 trang 122 SGK Toán 11 Kết nối tri thức tập 1

Giải bài tập 5.17 trang 122 SGK Toán 11 Kết nối tri thức tập 1

Trên đây là Giải toán lớp 11 trang 122 sách KNTT tập 1, Hàm số liên tục. Hãy cùng xem lại Giải toán lớp 11 trang 118 sách KNTT tập 1 – Bài 16: Giới hạn của hàm số và xem trước Giải toán lớp 11 trang 123, 124 sách KNTT tập 1 – Bài tập cuối chương 5 để chuẩn bị tốt nhất cho bài kiểm tra cuối chương 5 các em nhé.
Tham khảo thêm các tài liệu Giải Toán lớp 11 khác:
– Giải Toán lớp 11 sách Kết nối tri thức
– Giải toán lớp 11 trang 84, 85 sách CTST tập 1 – Bài 3: Hàm số liên tục
– Giải toán lớp 11 trang 77 sách Cánh Diều tập 1 – Bài 3: Hàm số liên tục
Trên đây là Giải toán lớp 11 trang 122 sách KNTT tập 1, Hàm số liên tục. Hãy cùng xem lại Giải toán lớp 11 trang 118 sách KNTT tập 1 – Bài 16: Giới hạn của hàm số và xem trước Giải toán lớp 11 trang 123, 124 sách KNTT tập 1 – Bài tập cuối chương 5 để chuẩn bị tốt nhất cho bài kiểm tra cuối chương 5 các em nhé.
